Nos regards
31
décembre
2021
La sucette qui… mousse !
La sucette de savon roulé pomme d’amour (c’est le modèle présenté en illustration), fraise, fruit de la passion, pamplemousse-mandarine, citron vert,1 est un curieux produit qui se décline en différents parfums et prend la forme d’une friandise, alors qu’il s’agit d’un produit d’hygiène ! Problème en matière d’appellation pour ce produit qui n’est pas un savon […]
29
décembre
2021
Le gel douche Lierac, un mariage nature-synthèse béni des dieux
Dans son conditionnement d’une extrême simplicité, avec ses initiales (LH) crânement affichées, la nouvelle gamme Homme de Lierac met en avant la sobriété. Pratique, simple, efficace, sensorielle, parfumée, naturelle (à 96 %)… cette gamme a décidé de cocher toutes les cases nécessaires au succès. Le gel douche intégral prône la simplicité, visage, corps, cheveux, barbe… […]
27
décembre
2021
Les carraghénanes, de la saucisse de Francfort au pansement cicatrisant, en passant par le dentifrice
Les carraghénanes (carrageenan en nomenclature INCI) sont des ingrédients qui laissent l’inventaire cosmétique européen presque sans voix.1 A la rubrique « Fonction », pas de réponse. A la rubrique « Description », en revanche, on apprend que cet ingrédient est obtenu à partir d’algues rouges (Rodophycées) de la famille des Gigartinacées ou des Solieriacées. Les sels de calcium de […]
21
décembre
2021
Les cosmétiques Bully avec un ou deux « L », des cosmétiques dans le vent !
Vinaigre de Lubin, cher à Guy de Maupassant,1 vinaigre de Bully, cher à Louis Aragon… le vinaigre cosmétique, en vogue à la fin du XVIIIe siècle et au début du XIXe siècle, est un curieux cosmétique qui retend les chairs atteintes de flaccidité et redonne au teint ses couleurs d’origine, sans avoir besoin de se […]
20
décembre
2021
Le tilleul, l’actif apaisant qui met une touche de poésie dans l’univers des cosmétiques !
Le tilleul est un arbre majestueux sous lequel il fait bon poser sa chaise par un bel après-midi d’été. Les inflorescences séchées permettent de réaliser des infusions indiquées pour traiter rhumes et états de stress.1 Ses ombrages permettent d’éviter les coups de soleil, un livre à la main. Evoquer le tilleul, c’est bien évidemment se […]
12
décembre
2021
Le parfum du pouvoir, rude, âpre, puissant !
Clorinde, une femme à l’odeur « rude », a pour idée fixe de remettre en selle un politicien, mis sur la touche, Eugène Rougon.1 Pour cela, elle n’hésitera pas à jouer de son charme et à user de toutes ses relations, à faire de la politique dans son cabinet de toilette, au milieu des « cuvettes mal essuyées ». […]
07
décembre
2021
Lait de toilette bébé toudoux de Roval, vraiment très doux
Un lait de toilette tout doux… un de plus ! Est-il vraiment doux ? Oui, si l’on sait lire une composition cosmétique. Un lait de toilette, c’est avant tout une émulsion ; on doit donc retrouver dans la formule une phase grasse, une phase aqueuse et des tensioactifs. Dans le cas présent, la phase grasse est composée de […]
06
décembre
2021
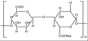
Les alginates, leur intérêt : c’est pas du flan !
Faites une recherche avec le mot-clé « Algin » dans la base de données Cosing et il vous tombera dessus une avalanche de monographies. Entre le gélifiant « Algin » et le sel de triéthanolamine d’acide alginique (stabilisateur d’émulsion), on trouvera différents sels d’acide alginique (sels d’ammonium, de calcium, de magnésium ou de potassium), mais également des esters variés, […]
01
décembre
2021
La crème évanescente du Dr Cottan, le retour !
« Mousses, neiges au stéarate, vanishing-creams, crèmes évanescentes »… autant de qualificatifs pour désigner les toutes premières émulsions stabilisées à l’aide de savon, nées à la fin du XIXe siècle et au début du XXe siècle. Diadermine (une crème « médicale », utilisée aussi bien en tant que produit d’hygiène qu’en tant que crème de jour protectrice, selon le […]
30
novembre
2021
Les tribulations d’un fruit chinois qui finit dans la mélasse
Schisandra chinensis, cette plante de la médecine traditionnelle chinoise à laquelle sont dédiés une bonne centaine d’articles,1 est pourvoyeuse, pour l’industrie alimentaire et cosmétique, d’un fruit aux multiples propriétés.2 Les polysaccharides et les lignanes qui le composent sont très étudiés, du point de vue de leurs potentialités médicales.3 Fruit tonifiant, fruit favorisant les beaux rêves, […]
