Nos regards
24
janvier
2022
Le beurre d’illipé, la crème des beurres ?
Le beurre d’illipé, un ingrédient-beauté exotique, parle à nos goûts d’ailleurs (et on a bien besoin en ce moment de s’offrir des petites plages d’insouciance, en se projetant loin d’un quotidien morose) et à nos besoins de naturalité… Mais qui se cache derrière cette appellation de beurre d’illipé ? Le beurre, extrait des graines d’une plante […]
23
janvier
2022
L’aspirine, le principe actif médicamenteux qui ravit Amélie !
Amélie Nothomb, dans un court récit publié en 2001, nous révèle son goût pour un champagne médicamenteux dont le nom chimique est acide acétylsalicylique et dont le nom de scène est aspirine.1 Avant de faire amie-ami avec ce principe actif mis au point par les chercheurs du laboratoire Bayer, en 1897,2 il a fallu, à […]
21
janvier
2022
Le sleep sérum, ou comment toucher le fond du fond réglementaire !
Le Règlement (CE) N°1223/2009 prend, au fil des ans, des allures de vieille coquette, adepte du plâtrage cosmétique. Le layering1 ou technique du millefeuille, qui consiste à empiler, sur sa peau, plusieurs couches de cosmétiques différents ça lui parle. Sauf que dans le cas de ce Règlement, les couches de cosmétiques ont été remplacées par […]
17
janvier
2022
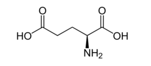
L’acide glutamique, un ingrédient cosmétique intelligent ?
Neurotransmetteur cérébral d’importance,1 agent anticancéreux potentiel (en devenir, en attente…),2 molécule ouvrant des voies de réflexion en matière de mise au point de nouvelles spécialités médicamenteuses à visée antidépressive,3 ingrédient présent naturellement dans les aliments ou additif alimentaire « délicieux »,4 nutriment-santé pour poissons d’élevage5… on pourrait continuer longtemps à lister les applications de cette molécule tant […]
16
janvier
2022
Laurence et Pauline, deux amies, jusqu’au moment où…
Laurence, la Parisienne « C’était une jeune femme d’une beauté vive et saisissante, mais pâlie par la fatigue » du voyage de Paris à Saint-Front, commune de son enfance où elle revient après des années d’absence, avec l’aura d’« une belle et intelligente actrice ». Laurence peut être fière de ses « magnifiques cheveux noirs ».1 Pauline, la provinciale de Saint-Front […]
14
janvier
2022
Les baumes du hibou… qui a éteint la lumière ?
Les baumes du hibou sont de curieux cosmétiques,1 présentés comme des « baumes de massage » « pour faire face aux petits maux du quotidien »… « Sommeil paisible », « hiver tranquille », « coups et bleus », « vitalité musculaire », « apaise piqûres »… autant d’allégations qui nous ramènent vers le domaine médical et non cosmétique. Pour bien comprendre la différence entre cosmétique et médicament, il […]
10
janvier
2022
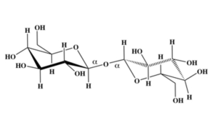
Le tréhalose, d’un cocon sucré au cosmétique cocooning un ingrédient cosmétique à découvrir !
Le tréhalose, un disaccharide composé de glucose, est un sucre retrouvé dans beaucoup d’organismes vivants à l’exception des vertébrés.1 Ce sucre, qui intéresse beaucoup les chercheurs (le nombre de publications de 1920 à 2020 suit une courbe quasiment exponentielle),2 trouve des applications dans le domaine alimentaire (agent stabilisateur, édulcorant et texturant), pharmaceutique3 et cosmétique. L’inventaire européen […]
07
janvier
2022
Le savon, en tablette, pas vraiment une chouette idée !
Les tablettes de… savon de la marque Maison mère sont parfaitement exécutées.1 Rien à redire du point de vue visuel. Des tablettes de 120 grammes, composées de carrés… des tablettes qui ressemblent à s’y méprendre aux tablettes de chocolat, retrouvées habituellement au rayon des friandises. Ces tablettes sont, contre toute attente, des cosmétiques et non […]
03
janvier
2022
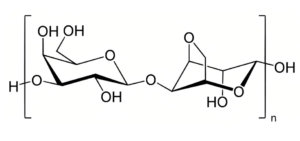
L’agar, c’est bien… l’agar-agar, c’est bien bien !
L’agar est un polymère de galactose,1 présent dans la paroi cellulaire de certaines algues rouges,2 susceptible d’être utilisé pour la formation de films alimentaires3 ou permettant de modifier la viscosité des jus de fruits ou d’autres préparations alimentaires (l’agar est l’additif E406).4 Selon le mode d’extraction choisi, on obtiendra des polysaccarides plus ou moins purifiés.5 […]
02
janvier
2022
Lorsque la fée Amélie nous parle d’Electr…icité !
Chez Jean Giraudoux, Electre est une jeune fille sacrifiée, offerte à un jardinier aux ongles sales. Un savonnage énergique des dalles de la piscine a conduit à la mort du roi Agamemnon, le père d’Electre. Un simple petit morceau de savon et la machine infernale du destin s’est mise implacablement en marche.1 Chez Amélie Nothomb, […]
