Nos regards
10
avril
2024
Le sérum à base de plancton d’eau douce !
Fer de lance de la « Blue Beauty »1 en France, Biotherm nous a concocté un sérum à sa façon. Rappelons que la Blue Beauty constitue une sorte de Green Beauty, tournée, non plus vers la terre, mais, cette fois-ci, vers la mer. Des cosmétiques, censés être tout bons, tout sains, emballés dans des conditionnements écologiques (ici, […]
07
avril
2024
Le goudronnage d’une voie et ses dramatiques conséquences
Où l’on va découvrir que le progrès, c’est comme la langue d’Esope… Dans cette nouvelle que Sylvain Tesson a appelé L’asphalte,1 nous découvrons les avantages, mais aussi les risques du goudron. Du grec ancien « asphaltos », l’asphalte était connu dans l’Antiquité et Dioscoride y fait mention,2 témoin de l’usage empirique de cette substance en dermatologie. Edolfius, […]
02
avril
2024
Le pouvoir des parfums… presque un abus de pouvoir !
On le sait, les parfums exercent des rôles psychologiques indéniables et ce n’est ni Marcel Proust, avec son aversion pour le vétiver,1 ni Emile Zola et son affection pour l’héliotrope2 qui viendraient nous contredire. En matière de physiologie, en général, et de physiologie cutanée, en particulier, on se rend compte, depuis une vingtaine d’années, par […]
29
mars
2024
Le bronzant qui n’est pas auto !
Le titre est accrocheur (« Ce concentré teinté bio à petit prix offre une peau bronzée sans autobronzant »).1 Et bingo… on a accroché ou plutôt on nous a fait nous y accrocher (merci cher Jean-Claude Le Joliff), en nous signalant l’existence de cette crème teintée, qui semble vouloir se faire passer pour un autobronzant. Quel intérêt ? […]
27
mars
2024
L’urine comme cosmétique, l’upcycling poussé à bout !
L’urine est un liquide biologique, considéré comme un déchet. Un filtrat sanguin, qui permet de maintenir l’homéostasie de l’organisme et d’éliminer un certain nombre de métabolites qu’il convient d’évacuer. Déchet un mot qui revient deux fois en deux phrases. Un déchet qui est valorisé, actuellement, à travers le monde, par certaines personnes, qui pensent se […]
25
mars
2024
La graine de lin… on n’invente rien !
La graine de lin est considérée comme un super aliment (superfood), du fait de ses qualités nutritionnelles jugées remarquables. La fibre de lin est considérée comme un super-textile, du fait de son caractère naturel.1 Le lin s’avère un aliment-beauté pour la peau et les poils du chien.2 Le lin s’invite dans les cosmétiques fabriqués par […]
18
mars
2024
Le peroxyde de benzoyle, on le montre du doigt !
Antibactérien, comédolytique, anti-inflammatoire,1 utilisé en médecine humaine et vétérinaire,2 agent de blanchiment légal pour farines,3 dans certaines régions du monde ou bien adultérant, contaminant certains aliments dans d’autres,4 le peroxyde de benzoyle est un principe actif, couramment employé dans le cadre du traitement de l’acné. Dans le domaine cosmétique, cet ingrédient est… autorisé, avec toutefois, […]
16
mars
2024
L’ogresse, quel appétit pour les cosmétiques !
L’ogresse, pour Irène Némirovsky, est une femme qui projette sur ses enfants ses désirs les plus profonds et les envoie illico au tombeau.1 Chez Irène, la mère de famille est toxique ! Toxique et peinturlurée, c’est comme cela qu’on la reconnaît ! L’ogresse, une femme peinturlurée Il s’agit d’une femme croisée dans une ville d’eau. Une forte […]
11
mars
2024
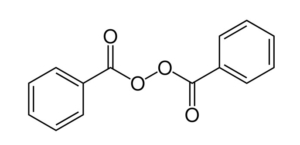
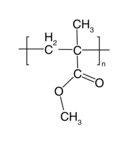
Le PMMA, il est partout, par les moustaches de Plekszy- Gladz !
Le polyméthacrylate de méthyle ou polyméthyméthacrylate (PMMA) est un polymère acrylique, doué d’une belle transparence, utilisable dans différents domaines d’application allant de l’électronique au cosmétique, en passant par le domaine médical ou la décoration.1 Beaucoup plus résistant que le verre,2 le PMMA est considéré, non pas comme un contenant cosmétique, mais comme un ingrédient contenu […]
06
mars
2024
Les polymères de butylène, des matières plastiques émollientes qui font fondre toute résistance
La Règlementation Reach a parlé… en ce qui concerne les polymères synthétiques solides.1 Ceux-ci devront désormais être mesurés, pesés, examinés, afin de savoir s’ils vont pouvoir être incorporés ou non dans les cosmétiques, avant de finir leur vie dans l’un ou l’autre des coins de la planète. On a parlé des solides… Maintenant, il reste […]
