Nos regards
26
avril
2019
Les produits Waso de Shiseido pourraient voler plus haut !
Les produits cosmétiques Waso sont des cosmétiques de luxe destinés aux 18-35 ans. Des emballages de couleur claire, une ligne épurée, un argumentaire tourné vers le « naturel », un nom exotique résultant de la création d’un mot valise entre « harmonie paisible » et « inspiration, idée, pensée »…1 Tous les ingrédients sont réunis pour séduire une jeunesse dorée qui […]
24
avril
2019
L’hexylcinnamal, la molécule qui parfume doudous et Loulou
L’hexylcinnamal occupe la troisième place sur le podium des allergènes les plus retrouvés, selon les chercheurs qui se sont assigné la tâche de mieux connaître les allergènes présents dans les produits ménagers utilisés quotidiennement dans les foyers allemands. Avec un taux de présence de 14,8 %, l’hexylcinnamal vient derrière le limonène (23,1 %) et le […]
23
avril
2019
L’arginine, l’actif cosmétique qui nous veut du bien
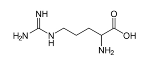
L’arginine est un acide aminé qui entre dans la composition de nombreuses protéines. Cette molécule, baptisée « molécule miraculeuse », joue un rôle important au niveau biologique, du fait de sa capacité à se lier à l’anion phosphate et à catalyser un certain nombre de réactions de phosphorylation.1 Présente de manière abondante dans le jus de raisin […]
20
avril
2019
La myrrhe, bien plus qu’un ingrédient cosmétique
Evoquer la myrrhe, c’est se placer au beau milieu d’un conflit botanique. Le pharmacien François Dorvault nous rappelle ainsi, dans la bible du pharmacien, que cette gomme–résine « découle d’un arbre rabougri qui croît sur les frontières de l’Arabie et de la Nubie nommé Balsamodendron myrrha », selon certains auteurs et qu’elle est obtenue, pour d’autres, à […]
17
avril
2019
L’amylcinnamal, l’ami des cosmétiques
L’amylcinnamal (n° CAS : 122-40-7 ; n° EC : 204-541-5) est une molécule que l’on peut retrouver sous de nombreux noms différents (entre autres 2-benzylidéneheptanal, alpha-amyl cinnamaldéhyde, aldéhyde alpha-amyl cinnamique, flomine, jasminal…). Certains auteurs mentionnent sa présence dans certaines boissons (thé) et certains aliments (soja).1 Pour notre part, nous avons retrouvé sa trace aussi bien dans des graisses […]
10
avril
2019
L’isoeugénol ou comment faire entrer un œillet dans une bouteille !
L’isoeugénol n’est pas particulièrement l’ami des produits ménagers ; on en retrouve beaucoup moins fréquemment (seulement dans 5 % des produits testés) que le trio de tête composé du limonène (78 %), linalol (61 %) et citronellol (47 %).1 On peut, en revanche, le retrouver dans certains cosmétiques, de façon variable en fonction des époques et […]
09
avril
2019
Le citrate de zinc, un antiseptique à usage bucco-dentaire qui vaut plus que de l’or !
La plaque dentaire correspond à un biofilm composé d’un grand nombre de micro-organismes, environ 10 milliards de germes par gramme.1 Le maintien d’un bon état de la cavité buccale nécessite donc la réalisation d’un « ménage » quotidien efficace. Pour se faire, différents ingrédients sont à disposition. Le triclosan, très utilisé dans les années 1980–1990,2 est désormais […]
03
avril
2019
L’eugénol, la molécule issue du clou du girofle qui rend les navets beaux !
L’eugénol ou 2-méthoxy-4-(2-propényl)-phénol est une molécule parfumante que l’on retrouve dans environ 30 % des produits du commerce, cosmétiques et produits ménagers confondus. Elle n’occupe que la 15e place, bien loin derrière les stars que sont le limonène, le linalol et le citronellol.1 Cette molécule que l’on peut retrouver dans un certain nombre de végétaux […]
27
mars
2019
Le cinnamate de benzyle, à parfum discret, allergène discret !
Le cinnamate de benzyle a un parfum discret. Il est, en effet, très modestement, utilisé pour le parfumage des cosmétiques. Il s’agit également d’un allergène discret que l’on doit signaler pourtant sur les emballages des produits qui en contiennent, dans certaines conditions. On le retrouve dans la nature, mais il est majoritairement obtenu par voie […]
25
mars
2019
Le Rouge Coco Chanel, pour toutes les demoiselles !
Le rouge à lèvres Coco se décline en 24 teintes. Adrienne, Etienne, Dimitri, Marthe, Edith et les autres sont autant d’amis qui prennent la liberté d’appeler Gabrielle par son surnom de Coco.1 Pour une tenue et un effet hydratant incomparables, Coco s’est enfermée avec des formulateurs, dans son laboratoire, afin de sélectionner un mélange de […]
