Nos regards
06
octobre
2023
Le parfum de l’enfance, en perfusion, pour rester fort !
2021 : L’enfance de Syrano de Chartres, évoquée dans une chanson est… parfumée.1 Une enfance qui sent bon tout le temps, même quand ça sent pas bon… parfois. Une enfance qui sent la boulangerie (avec le pain grillé) Une enfance qui sent l’école (avec la colle Cléopâtre) Une enfance qui sent les cosmétiques (le shampooing des […]
05
octobre
2023
Dans cette enquête, les cosmétiques, au minimum !
Mais qu’est-ce qui a pris à Caroline Quine de baptiser Bess, Marvin et non Taylor, Marion, Fayne et non Webb et Sarah, la fidèle gouvernante qui a élevé Alice, Green en lieu et place de Berny ?1 Quel charivari parmi les personnages que les lecteurs de la bibliothèque verte connaissent bien. Dans l’opus de 1991, […]
04
octobre
2023
Le cold cream, on en parle beaucoup, on le connaît peu !
Le cold cream est un cosmétique superlatif, qui fait monter les qualificatifs aux lèvres. Un soin qui « réconforte », la crème « anti-froid par excellence » selon le magazine Elle,1,2 la barrière anti-froid pour le journal Marie-Claire,3 le soin doudou pour la peau pour le site aufeminin.com…4 Chacun y va de sa comparaison flatteuse pour désigner un produit […]
03
octobre
2023
Crème et spray Mustela, pour les fesses, mais pas pour le visage !
Il convient de ne pas tout mélanger en matière de cosmétiques destinés aux bébés. Après avoir bataillé dur pour que les parents maintiennent leurs enfants à l’ombre durant les vacances estivales, on constate que l’industrie se met à avoir un langage très éloigné de celui de la sécurité cutanée. Les produits solaires destinés aux bébés […]
02
octobre
2023
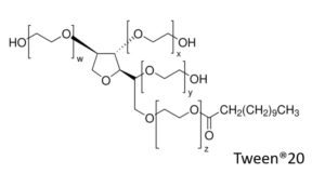
Les Tweens, pas vraiment les twins des spans !
Une fois que l’on a parlé des Spans®,1 il ne reste plus qu’à évoquer les Tweens®. Avec des noms pareils, on a l’impression d’avoir affaire à des sortes de lutins, sortis tout droit du folklore populaire… il n’en est rien. Ces ingrédients, très sérieux, ne sont rien d’autres que des tensioactifs de synthèse, dérivés du […]
01
octobre
2023
Un parfum canaille ou canin peut sauver une vie, du moins chez Françoise Sagan !
Dans son dernier roman, paru à titre posthume,1 Françoise Sagan nous emmène à la campagne, du côté de Tours. Un paysage qui ressemble à un plat de cresson. Tout est vert, dans ce coin de France. Des personnages qui ne sont pas encore à point… un peu verts. L’amour a besoin de s’épanouir dans ce […]
30
septembre
2023
Cosmétiques de l’ennemie, c’est Irène Némirovsky qui s’y colle !
Une fille Gabrielle (Gabri, pour les intimes)1 qui fait « ombrage à la beauté de sa mère » et que l’on aimerait escamoter pour ne jamais vieillir ! Une fille qui aimerait trouver un peu de tendresse auprès de son père et n’en récolte guère. Des cosmétiques qui tuent les sentiments… Un procès à charge contre les cosmétiques […]
29
septembre
2023
Avez-vous une rime en ille ?
1991, François Feldman est aux abois. Il lui faut des rimes en « ille » pour fêter la naissance de sa fille, Joy.1 Parfum de « vanille »… facile. Et puis, pêle-mêle, « brillent », « déshabillent », « famille », « gentille », « petite fille ».2 Et pourquoi pas alchémille, aiguille, belle-fille, escarbille ? Un grand merci à Jean-Claude A. Coiffard, poète et plasticien, pour son illustration du […]
28
septembre
2023
Une longue douche et puis ça repart !
Avec Alice et les cerveaux en péril, Caroline Quine signe une enquête qui ne brille pas par la propreté.1 Menée tambour battant, cette lutte, menée contre un espion de taille, aboutit à l’arrestation d’un coupable qui comptait bien obtenir la formule de la vie éternelle en enlevant une petite fille de 12 ans. Une rançon […]
27
septembre
2023
Crème solaire ou crème pour les fesses des bébés ?
L’oxyde de zinc est un curieux ingrédient cosmétique, qui mange, un peu à tous les râteliers. A la fois colorant (il est présent en tant que colorant CI 77947 à l’Annexe IV du Règlement (CE) N°1223/2009 ; il ne doit pas être conditionné dans un emballage susceptible de provoquer « une exposition des poumons de l’utilisateur final ») […]
