La rayonne, une centenaire au cœur tendre et à la tête de bois !
Du tampon hygiénique,1 à la gaze hémostatique,2 en passant par le masque cosmétique3 destiné à lisser le traits (on parle ici du support permettant l’application du cosmétique et non du produit imbibant le masque)4 ou au pansement pour chien,5 la rayonne n’est décidément pas qu’un matériau destiné à réaliser des vêtements en soie artificielle. Obtenue à partir de la cellulose du bois, elle porte bien son nom tant son rayon d’action est large ! Du vêtement au cosmétique, la rayonne se retrouve désormais un peu partout, y compris dans notre environnement, nos intestins… De quoi avoir envie de digérer un peu d’informations la concernant !
La rayonne, une fibre obtenue par le procédé « viscose »
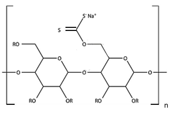
Le procédé viscose, couramment utilisé pour la production de fibres de rayonne, implique la modification chimique de la cellulose avec du sulfure de carbone, dans des conditions fortement alcalines, suivie de sa dissolution et de sa régénération dans des conditions fortement acides.6 En ce qui concerne les conditions d’obtention de cette fibre, l’utilisation du sulfure de carbone, un solvant toxique, fait débat depuis fort longtemps ;7 il est, en effet, important que les travailleurs de ce domaine industriel soit le moins possible exposés à cette substance, afin d’éviter/limiter les maladies professionnelles,8 résultats d’effets sur les systèmes neurologique, reproducteur et cardiovasculaire.9
Comme source de cellulose, on utilise le plus souvent la pâte à bois.
Depuis quelque temps, on nous parle de procédés verts d’obtention à partir d’alcali et d’urée.10 A voir !
La rayonne ou la viscose ? La viscose ou la rayonne ?
Viscose ou rayonne ? Selon la région du monde considérée on n’utilisera pas le même vocabulaire ; on parlera de viscose, si on est en Europe ou de rayonne, si on est aux Etats-Unis.11 Toujours bon à savoir !
Précisons tout de même, avant de refermer ce chapitre, que le nom de viscose est à mettre au compte de Cross, Bevan et Beadle, qui, en 1892, déposent un brevet concernant une nouvelle substance issue de la cellulose.12
La rayonne à l’inventaire européen
La rayonne (INCI : rayon) est définie, à l’inventaire européen, comme de la « Cellulose, régénérée. Le produit est obtenu en traitant la cellulose avec de la soude caustique, en la faisant réagir avec du sulfure de carbone, en la dissolvant dans une solution alcaline diluée et en l’extrudant dans un acide pour former un tube de viscose continu. » Du point de vue de ses fonctions, il s’agit d’un agent « épaississant, adaptateur de viscosité ».13
Dans le domaine cosmétique, la rayonne est appelée « rayon » et non viscose ! Et on note aussi que cet ingrédient ne dispose pas de monographie au CIR, ni d’avis du SCCS.
La rayonne, un ingrédient pour cosmétotextile
Un cosmétotextile ou plutôt un médicotextile, puisque la publication trouvée sur le sujet correspond à un bas de viscose contenant une cyclodextrine, renfermant différents actifs veinotoniques à destination du sujet souffrant d’insuffisance veineuse.14 On peut, tant qu’on y est, prévoir des cosmétotextiles protecteur UV à base de viscose et de filtres UV.15 Et puis, quoi encore ?
La rayonne, un polluant environnemental
Lorsque l’on sait qu’un vêtement pour adulte peut libérer 1900 microfibres au cours d’un lavage, on se dit qu’il ne faut pas très longtemps pour former un sédiment de microfibres au fond des rivières. Et c’est effectivement ce qui se passe16… Dans ces sédiments, on retrouve, en fonction des strates correspondant à différentes périodes, divers microplastiques, dont la rayonne et le polyester.17 La rayonne représente, dans certains cas, plus de 50 % des microplastiques considérés.18 Elle peut même, parfois, atteindre 85 % des polluants identifiés, comme c’est le cas au niveau de la barrière de corail mésoaméricaine du Belize.19
La rayonne, un polluant retrouvé dans nos assiettes
Précisons que la rayonne se retrouve, tout comme d’autres microplastiques, dans des produits de consommation comme les moules, qui ont tendance à les concentrer.20 Une étude réalisée en Angleterre en 2022 montre à quel point le rayonne se faufile partout… on retrouve, en effet, ce microplastique dans les plats préparés à base de moules et dans les moules vivantes du commerce.21 Même chose pour les huîtres !22
Une étude publiée par une équipe chinoise en 2022 démontre aussi qu’il vaut mieux déjeuner seul ou en tête à tête chez soi, plutôt que dans une cafétaria en plein rush… le nombre de microfibres de rayonne retrouvé dans l’assiette variant du simple (quand on est chez soi) au double (75 microfibres/assiette) !23 Comme quoi l’agitation lorsque l’on déjeune n’a aucune conséquence positive ! Déjeuner en paix, chantait Stephan Eicher, en 1991. En 2024, on a envie de reprendre le même refrain et on rêve de manger autre chose que des microfibres au ketchup !
La rayonne, un polluant qui s’immisce jusque dans certains…médicaments
Dans les aliments, on l’a vu ! Mais aussi dans les médicaments. C’est ainsi que si l’on se traite avec divers principes actifs de la pharmacopée chinoise (perle, pierre ponce, huître, kombu, os de seiche…), on risque fort de réaliser une plasticothérapie du premier ordre !24
Et le rapport avec les cosmétiques ?
La rayonne est un ingrédient cosmétique, qui fait peu parler de lui dans la littérature scientifique. Elle ne semble intéresser personne. Pourtant, elle est utilisée pour formuler des mascaras, par exemple.25
La rayonne, en bref
La rayonne est considérée comme un microplastique… d’origine naturelle, puisque dérivé de cellulose. Une cellulose subissant un traitement chimique, rien moins que naturel. La réglementation Reach, qui vise à limiter l’emploi des microplastiques dans les cosmétiques, entre autres, ne s’intéresse qu’aux « microparticules de polymères synthétiques » !26 En conséquence, notre microplastique « naturel » peut bien s’accumuler où il veut, on s’en fiche peu… On pourra en retrouver dans les moules, les huîtres, l’assiette de la cantine… ce n’est pas grave, puisque c’est obtenu à partir de la cellulose du bois. La microfibre, tendre comme de la soie, qui gaine les cils comme un bas nylon et les transforme en baguettes de tambour en bois, est un ingrédient cosmétique, qui mérite que l’on se penche sur son cas, afin d’étudier le bien fondé de son emploi dans cette catégorie de produits de maquillage. A suivre…
Bibliographie
1 Scialli AR. Tampons, dioxins, and endometriosis. Reprod Toxicol. 2001 May-Jun;15(3):231-8
2 Develle R, Schaerf R, Najibi S, Conrad J, Abate G. Efficacy and safety of regenerated cellulose topical gauze haemostats in managing secondary haemostasis: a randomised control trial. J Wound Care. 2020 Nov 2;29(11):670-677
3 Bae YJ, Jang MJ, Um IC. Silk/Rayon Webs and Nonwoven Fabrics: Fabrication, Structural Characteristics, and Properties. Int J Mol Sci. 2022 Jul 6;23(14):7511
4 https://www.cromapharma.com/ch-fr/produits/cosmetiques/masques-visage/hyaluronic-acid-face-mask/
5 Ramsey DT, Pope ER, Wagner-Mann C, Berg JN, Swaim SF. Effects of three occlusive dressing materials on healing of full-thickness skin wounds in dogs. Am J Vet Res. 1995 Jul;56(7):941-9
6 Mendes ISF, Prates A, Evtuguin DV. Production of rayon fibres from cellulosic pulps: State of the art and current developments. Carbohydr Polym. 2021 Dec 1;273:118466
7 Vigliani EC. Carbon disulphide poisoning in viscose rayon factories. Br J Ind Med. 1954 Oct;11(4):235-44
8 Kotseva K, Braeckman L, De Bacquer D, Bulat P, Vanhoorne M. Cardiovascular effects in viscose rayon workers exposed to carbon disulfide. Int J Occup Environ Health. 2001 Jan-Mar;7(1):7-13
9 DeMartino AW, Zigler DF, Fukuto JM, Ford PC. Carbon disulfide. Just toxic or also bioregulatory and/or therapeutic? Chem Soc Rev. 2017 Jan 3;46(1):21-39) (Kuo HW, Lai JS, Lin M, Su ES. Effects of exposure to carbon disulfide (CS2) on electrocardiographic features of ischemic heart disease among viscose rayon factory workers. Int Arch Occup Environ Health. 1997;70(1):61-6
10 Tu H, Li X, Liu Y, Luo L, Duan B, Zhang R. Recent progress in regenerated cellulose-based fibers from alkali/urea system via spinning process. Carbohydr Polym. 2022 Nov 15;296:119942
11 Comnea-Stancu IR, Wieland K, Ramer G, Schwaighofer A, Lendl B. On the Identification of Rayon/Viscose as a Major Fraction of Microplastics in the Marine Environment: Discrimination between Natural and Manmade Cellulosic Fibers Using Fourier Transform Infrared Spectroscopy. Appl Spectrosc. 2017 May;71(5):939-950
12 https://new.societechimiquedefrance.fr/wp-content/uploads/2021/05/a_2_210_000.vfx2_sav.pdf
13 https://ec.europa.eu/growth/tools-databases/cosing/details/79457
14 Cravotto G, Beltramo L, Sapino S, Binello A, Carlotti ME. A new cyclodextrin-grafted viscose loaded with aescin formulations for a cosmeto-textile approach to chronic venous insufficiency. J Mater Sci Mater Med. 2011 Oct;22(10):2387-95
15 Ibrahim NA, El-Zairy EM, Abdalla WA, Khalil HM. Combined UV-protecting and reactive printing of Cellulosic/wool blends. Carbohydr Polym. 2013 Feb 15;92(2):1386-94
16 Zambrano MC, Pawlak JJ, Daystar J, Ankeny M, Cheng JJ, Venditti RA. Microfibers generated from the laundering of cotton, rayon and polyester based fabrics and their aquatic biodegradation. Mar Pollut Bull. 2019 May;142:394-407
17 Dong M, Luo Z, Jiang Q, Xing X, Zhang Q, Sun Y. The rapid increases in microplastics in urban lake sediments. Sci Rep. 2020 Jan 21;10(1):848
18 Zhang B, Wu D, Yang X, Teng J, Liu Y, Zhang C, Zhao J, Yin X, You L, Liu Y, Wang Q. Microplastic pollution in the surface sediments collected from Sishili Bay, North Yellow Sea, China. Mar Pollut Bull. 2019 Apr;141:9-15
19 Oldenburg KS, Urban-Rich J, Castillo KD, Baumann JH. Microfiber abundance associated with coral tissue varies geographically on the Belize Mesoamerican Barrier Reef System. Mar Pollut Bull. 2021 Feb;163:111938
20 Ding J, Sun C, He C, Li J, Ju P, Li F. Microplastics in four bivalve species and basis for using bivalves as bioindicators of microplastic pollution. Sci Total Environ. 2021 Aug 15;782:146830
21 Li J, Green C, Reynolds A, Shi H, Rotchell JM. Microplastics in mussels sampled from coastal waters and supermarkets in the United Kingdom. Environ Pollut. 2018 Oct;241:35-44
22 Lozano-Hernández EA, Ramírez-Álvarez N, Rios Mendoza LM, Macías-Zamora JV, Sánchez-Osorio JL, Hernández-Guzmán FA. Microplastic concentrations in cultured oysters in two seasons from two bays of Baja California, Mexico. Environ Pollut. 2021 Dec 1;290:118031
23 Zhang Q, Du F, Liang W, Chen Q, Meng J, Shi H. Microfiber fallout during dining and potential human intake. J Hazard Mater. 2022 May 15;430:128477
24 Zhu Z, Gong H, Wang X, Wang X, Guo W, Yan M, Yan M. Microplastics in marine-derived traditional Chinese medicine, potential threat to patients. Sci Total Environ. 2023 Oct 15;895:165075

