La pectine, l’ingrédient cosmétique aux pommes !
Un prébiotique intestinal « tendance » issu de la valorisation de déchets divers et variés1 ou bien un gélifiant cosmétique aux qualités exceptionnelles !2 Deux versants d’un même ingrédient, connu depuis le XVIIIe siècle3 et étudié de manière précise à partir des années 1950.
Simple additif ou véritable actif ?
C’est la question du jour !
Structure chimique et origine
La pectine, un polysaccharide anionique de poids moléculaire élevé (il s’agit donc d’un nom générique, car il existe des degrés de polymérisation différents), est obtenue à partir d’un certain nombre de sous-produits végétaux. Une forme d’upcycling4 donc, puisque cet ingrédient est traditionnellement extrait de déchets industriels tels que le marc de pomme,5 les écorces d’agrumes6 et la pulpe de betterave. Il existe également des sources plus originales, comme les cabosses de cacao, les peaux de durian ou de mangue7 ou encore d’aubergine. Certains auteurs utilisent la peau du kaki comme milieu de fermentation pour certaines espèces d’Aspergillus, afin d’obtenir de hauts rendements de pectine.8
Selon le cas, on peut utiliser une méthode d’obtention plus ou moins polluante, plus ou moins consommatrice d’énergie ou privilégier une méthode d’extraction verte par le CO2 supercritique, par exemple.9
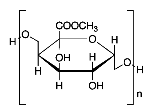
En ce qui concerne la structure chimique de ce polymère, on rappellera que celle-ci correspond à l’assemblage de trois motifs polysaccharidiques : l’homogalacturonane (HG, représentant jusqu’à 60 % des molécules de pectine), le rhamnogalacturonane I (RG-I, représentant environ 20 à 35 % des molécules de pectine) et le rhamnogalacturonane II (RG-II, représentant environ 10 % des molécules de pectine) sous forme méthylée.10
Propriétés cosmétiques, selon l’inventaire européen
Un agent liant, un facteur rhéologique et un stabilisateur d’émulsion… voici comment nous est présenté ce gélifiant11 qui présente la particularité, tout comme les alginates, de gélifier en présence d’ions calcium ; le résultat : un gel dense et élastique,12 capable d’encapsuler des molécules parfumantes comme le citronellal, par exemple,13 mais également de capter des principes amers, dont on cherche à masquer le goût pour une utilisation par voie orale (on est pour le coup dans des applications pharmaceutiques).14
Et si l’on n’a pas d’ions calcium à disposition on peut toujours utiliser de la chlorhexidine, qui s’entend très bien avec la pectine et établit avec celle-ci des liaisons chimiques permettant l’obtention d’un réseau tridimensionnel.15 Evidemment, la présence de chlorhexidine dans un cosmétique n’est pas toujours une bonne idée, mais on peut garder cette information dans un coin de notre mémoire.
Propriétés cosmétiques et pharmaceutiques, selon la littérature
Certaines publications font état de méthodes d’extraction non spécifiques de la pectine. La pectine, obtenue à partir d’écorces de fruit, dans ces conditions, est associée à des polyphénols, des anthocyanes. Elle nous est alors présentée comme un ingrédient fonctionnel, aux qualités variées susceptibles de trouver des applications cosmétiques (effet stabilisateur d’émulsion, effet moussant), mais également thérapeutiques (avec des effets antiradicalaires, hypoglycémiants)16…
Propriétés stabilisatrices d’actifs cosmétiques, selon la littérature
On trouve ainsi une publication coréenne de 2014 qui mérite d’être mentionnée, puisqu’elle présente la pectine comme un agent à la fois protecteur et exhausteur de pénétration cutanée du palmitate de rétinyle. Une fois véhiculé par la pectine… cet ester de rétinol semble être transcendé !17 Même effet protecteur de la pectine dans le cas de son utilisation comme agent d’encapsulation d’extraits issus de la vigne.18
Par ailleurs, la pectine de pomme et la saponine de quillaja méritent d’être étudiées conjointement ; en fonction du rapport pectine/saponine, on peut obtenir une solution moussante, plus ou moins stable.19
Propriétés stabilisatrices d’émulsions de Pickering ou de biphasés
Et hop… une nouvelle publication vantant les mérites de la pectine en matière de stabilisation d’émulsions de Pickering,20 ces émulsions formulées sans tensioactifs.21 A étudier de plus près, tant les travaux sur le sujet sont loin de la réalité du terrain (en pratique ces émulsions s’avèrent très peu stables donc inexploitables concrètement).
Et hop… une autre publication ayant trait aux systèmes biphasés, composés d’un hydrogel, à base de pectine et d’un oléogel à base d’huile d’olive et de stéarate de glycéryle.22
Propriétés stabilisatrices de phytonanoémulsions
« Phytonanoémulsion »… un nouveau genre de cosmétique à base d’ingrédient végétal (phyto) « nanostructuré à partir d’ingrédients phytochimiques »… Ouf… C’est dit. Tout ça pour ça, nous direz vous lorsque vous aurez pris connaissance de cette « phytonanoémulsion », composée d’un extrait de réglisse, de lécithine, de pectine et d’eau !23
Propriétés hydratantes et anti-pollution
La pectine obtenue à partir d’une Cucurbitacée, Cucumis melo (ou Luffa cylindrica) nous est présentée, par certains auteurs, non plus comme un additif gélifiant, mais comme un actif hydratant.24 Un actif hydratant qui possède, en outre, des propriétés antioxydantes, exploitables, nous dit-on, dans le domaine des cosmétiques anti-pollution25 ou anti-âge.26
Propriétés cicatrisantes
Certains chercheurs ont imaginé d’associer la pectine, en tant que gélifiant et l’allantoïne, en tant qu’actif apaisant-cicatrisant, afin de mettre au point des pansements utiles pour la cicatrisation des plaies.27,28
Propriétés emballantes !!!
La pectine, en association avec de la cellulose, par exemple, permet également de réaliser des emballages, à type de films alimentaires.29
La pectine, en bref
Cette pectine de pomme est un ingrédient sûr d’emploi, qui fait l’unanimité. Un ingrédient aux pommes… en quelque sorte !
Bibliographie
1 Ćorović M, Petrov Ivanković A, Milivojević A, Veljković M, Simović M, López-Revenga P, Montilla A, Moreno FJ, Bezbradica D. Valorisation of Blackcurrant Pomace by Extraction of Pectin-Rich Fractions: Structural Characterization and Evaluation as Multifunctional Cosmetic Ingredient. Polymers (Basel). 2024 Sep 30;16(19):2779
2 Xiang T, Yang R, Li L, Lin H, Kai G. Research progress and application of pectin: A review. J Food Sci. 2024 Nov;89(11):6985-7007
5 Grassino AN, Barba FJ, Brnčić M, Lorenzo JM, Lucini L, Brnčić SR. Analytical tools used for the identification and quantification of pectin extracted from plant food matrices, wastes and by-products: A review. Food Chem. 2018 Nov 15;266:47-55
6 Zema DA, Calabrò PS, Folino A, Tamburino V, Zappia G, Zimbone SM. Valorisation of citrus processing waste: A review. Waste Manag. 2018 Oct;80:252-273
7 Pacheco-Jiménez AA, Lizardi-Mendoza J, Heredia JB, Gutiérrez-Grijalva EP, Quintana-Obregón EA, Muy-Rangel MD. Physicochemical characterization of pectin and mango peel (Mangifera indica L.) from Mexican cultivars. Heliyon. 2024 Jul 25;10(15):e35184
8 Liu Z, Yao L, Fan C. Optimization of fermentation conditions of pectin production from Aspergillus terreus and its partial characterization. Carbohydr Polym. 2015 Dec 10;134:627-34
9 Malpartida Yapias RJ, Ore Areche F, Echevarria Victorio JP, Paucarchuco Soto J, Lobato Calderon GR, Palomino Santos ER, Montalvo Otivo JM, Flores-Miranda C, Ruiz Rodriguez A. Advancements in green extraction technologies for pectin enhancing efficiency, sustainability, and functional properties: a systematic review. Braz J Biol. 2025 Jun 27;85:e287792
10 Yue Y, Wang B, Xi W, Liu X, Tang S, Tan X, Li G, Huang L, Liu Y, Bai J. Modification methods, biological activities and applications of pectin: A review. Int J Biol Macromol. 2023 Dec 31;253(Pt 8):127523
11 https://ec.europa.eu/growth/tools-databases/cosing/details/35880
12 Cao L, Lu W, Mata A, Nishinari K, Fang Y. Egg-box model-based gelation of alginate and pectin: A review. Carbohydr Polym. 2020 Aug 15;242:116389
13 Liu L, Chen G, Fishman ML, Hicks KB. Pectin gel vehicles for controlled fragrance delivery. Drug Deliv. 2005 May-Jun;12(3):149-57
14 Tian L, Song J, Li J, Wu J, Huang H, Lin J, Han L, Ma H, Zhang D. Molecular engineering for bitterness masking of natural products: from decoding structure-taste relationships to structure-driven bitterness suppression. Crit Rev Food Sci Nutr. 2025 Sep 9:1-18
15 Lascol M, Bourgeois S, Guillière F, Hangouët M, Raffin G, Marote P, Lantéri P, Bordes C. Pectin gelation with chlorhexidine: Physico-chemical studies in dilute solutions. Carbohydr Polym. 2016 Oct 5;150:159-65
16 Orqueda ME, Zampini IC, Torres S, Isla MI. Functional Characterization and Toxicity of Pectin from Red Chilto Fruit Waste (Peels). Plants (Basel). 2023 Jul 10;12(14):2603
17 Suh DC, Kim Y, Kim H, Ro J, Cho SW, Yun G, Choi SU, Lee J. Enhanced In Vitro Skin Deposition Properties of Retinyl Palmitate through Its Stabilization by Pectin. Biomol Ther (Seoul). 2014 Jan;22(1):73-7
18 Castro ML, Azevedo-Silva J, Valente D, Machado A, Ribeiro T, Ferreira JP, Pintado M, Ramos OL, Borges S, Baptista-Silva S. Elevating Skincare Science: Grape Seed Extract Encapsulation for Dermatological Care. Molecules. 2024 Aug 6;29(16):3717
19 Petkova H, Jarek E, Doychinov M, Krzan M, Mileva E. Synergy in Aqueous Systems Containing Bioactive Ingredients of Natural Origin: Saponin/Pectin Mixtures. Polymers (Basel). 2022 Oct 16;14(20):4362
21 Zhou S, Zhang W, Han X, Liu J, Asemi Z. The present state and future outlook of pectin-based nanoparticles in the stabilization of Pickering emulsions. Crit Rev Food Sci Nutr. 2025;65(13):2562-2586
22 Lupi FR, Shakeel A, Greco V, Oliviero Rossi C, Baldino N, Gabriele D. A rheological and microstructural characterisation of bigels for cosmetic and pharmaceutical uses. Mater Sci Eng C Mater Biol Appl. 2016 Dec 1;69:358-65
23 Sallustio V, Marto J, Escribano-Ferrer E, Gonçalves LM, Rossi M, Cappadone C, Mandrone M, Chiocchio I, Rossello S, Ribeiro H, Cerchiara T. Development and characterization of multifunctional phytonanoemulgels based on licorice extract and biocompatible polymers. Int J Biol Macromol. 2025 Aug;319(Pt 2):145241
24 Sripisut T, Teja A, Pengsuwan N, Tree-Udom T, Chanpirom S. Pectin-like polysaccharide extracted from Cucumis melo pulp: physicochemical, antioxidant, and skin hydration efficacy. Nat Prod Res. 2024 Nov 27:1-9
25 Saelee M, Myo H, Khat-Udomkiri N. Sustainable pectin extraction from Riang husk using ultrasound-assisted extraction with deep eutectic solvents and its potential in antipollution products. Ultrason Sonochem. 2025 Mar;114:107256
26 Cheong KL, Chen Q, Aweya JJ, Ji XL, Zhong S, Tan K. Trends in polysaccharide-based hydrogels for skin anti-aging and skin antioxidant. Int J Biol Macromol. 2025 Aug;319(Pt 2):145366
27 Valle KZM, Saucedo Acuña RA, Ríos Arana JV, Lobo N, Rodriguez C, Cuevas-Gonzalez JC, Tovar-Carrillo KL. Natural Film Based on Pectin and Allantoin for Wound Healing: Obtaining, Characterization, and Rat Model. Biomed Res Int. 2020 Oct 17;2020:6897497
28 Saucedo-Acuña RA, Meza-Valle KZ, Cuevas-González JC, Ordoñez-Casanova EG, Castellanos-García MI, Zaragoza-Contreras EA, Tamayo-Pérez GF. Characterization and In Vivo Assay of Allantoin-Enriched Pectin Hydrogel for the Treatment of Skin Wounds. Int J Mol Sci. 2023 Apr 17;24(8):7377
29 Sharaby MR, Soliman EA, Abdel-Rahman AB, Osman A, Khalil R. Novel pectin-based nanocomposite film for active food packaging applications. Sci Rep. 2022 Nov 30;12(1):20673

