Quand l’huile de ricin fait pousser les poils de la brossette à mascara !
Le mascara « protect palpebral » des laboratoires SVR est muni d’une brossette en fibre naturelle, enrichie en ricin.1
Chez Embryolisse, le ricin se décline, nous dit-on, de la formule à la brosse, puisque l’huile en question est présente dans la formule et que la graine permet de donner naissance à une fibre constitutive de la brossette.2
Quant au laboratoire Chanel, il nous propose un mascara révolutionnaire, avec une brossette imprimée 3D spécialement pour nous, afin que ses poils en « polyamide fabriqué à partir d’huile de ricin »3,4 conviennent parfaitement à nos envies.
Qu’est-ce donc que cette histoire d’huile de ricin, capable, aussi bien, de se retrouver dans une formule de mascara que dans les poils d’une brossette ?
Réponse d’un coup de brossette… magique !
Un polyamide biosourcé à base de ricin !
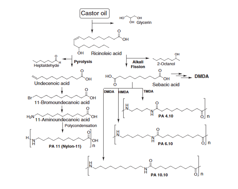
La réponse à notre question se trouve dans la littérature scientifique, puisque l’on y découvre que les polyamides « biosourcés » sont obtenus majoritairement à partir des graines de ricin extrêmement riche en huile et particulièrement en triglycérides renfermant un acide gras à 18 atomes de carbone, l’acide ricinoléique. Celui-ci va subir toute une série de réactions chimiques afin de donner naissance au polyamide-11 (également appelé nylon-11) et aux polyamides 4.10, 6.10 et 10.10 !5
Voilà donc le mystère levé, notre graine de ricin, riche en huile, constitue le premier maillon de la chaîne évolutive permettant d’obtenir après quelques réactions chimiques une matière plastique !
Et une huile de ricin qui fait pousser les poils de la brossette ?
Cette huile, qui nous est présentée comme un ingrédient favorisant la pousse du poil (du cil),6 ne risque-t-elle pas de faire pousser, allonger les poils de la brossette ? La question ne se pose pas, nous direz-vous, puisque l’huile de ricin en question a été traitée de toutes sortes de manières, afin de donner naissance à un acide gras qui, par traitements divers et variés, donne naissance à une matière plastique qui n’a plus rien à voir avec son géniteur ! Donc pas de souci, les poils de la brossette ne risquent pas de s’expanser !
Une brossette de mascara à l’huile de ricin, en bref
A lire certains argumentaires, on arriverait à croire que l’huile de ricin permet, par magie, de donner naissance à une matière plastique thermoformable, susceptible de donner naissance aux poils d’une brossette. Ce n’est pas tout à fait cela. Car entre la graine du ricinier et le filament de la brossette il y a eu quelques réactions chimiques qui ont eu lieu !
Bibliographie
1 https://fr.svr.com/products/palpebral-by-topialyse-mascara-protect
4 https://erpro-group.com/eye-chanel/
5 Winnacker M, Rieger B. Biobased Polyamides: Recent Advances in Basic and Applied Research. Macromol Rapid Commun. 2016 Sep;37(17):1391-413

