La gomme xanthane, un bon gélifiant, voilà tout !
Présentée dans l’inventaire européen comme une matière première cosmétique aux multiples usages : agent liant, stabilisateur d’émulsion, gélifiant, agent conditionneur, tensioactif nettoyant (on voit pas bien comment !) et émulsifiant (on voit toujours pas comment) et agent de contrôle de la viscosité,1 la gomme xanthane est un ingrédient très fréquemment retrouvé dans les produits cosmétiques industriels, mais également dans les produits faits maison.2 Pas vraiment de scoop au sujet de ce gélifiant né dans les années 1960 ; beaucoup de publications vantant ses mérites en matière de gélification ; des essais dans le domaine médical en matière de protection vis-à-vis des infections virales. Attention, pas de miracle pour l’instant.
La gomme xanthane, qu’est-ce que c’est ?
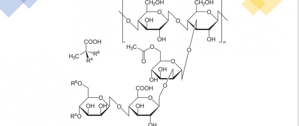
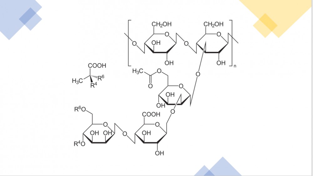
La gomme xanthane est un exo-polysaccharide, dispersible dans l’eau, produit par fermentation, en milieu aérobie de divers sucres (glucose, saccharose…).3 Cet hétéro-polysaccharide, construit à partir de glucose, de mannose, d’acide glucuronique et d’acide pyruvique, dont le poids moléculaire est compris entre 1 et 2 millions de grammes par mole,4 est produit par des bactéries du genre Xanthomonas (souvent Xanthomonas campestris) ; c’est l’un des biopolymères les plus produits au monde (production mondiale de l’ordre de 80 000 tonnes par an). Afin de réduire le coût de revient de cet ingrédient, il est possible de se tourner vers un substrat carboné très bon marché comme la mélasse, le lactosérum de fromage, l’amidon, les écorces de fruit de la passion, la poudre de graines de jacquier, les épis de maïs ou un certain nombre de déchets alimentaires.5 Il est également possible d’avoir recours à des moisissures comme Chaetomium globosum et non plus à des bactéries, pour produire ce polymère. Dans ce cas, des chercheurs ont mis en évidence le caractère anti-oxydant de la gomme xanthane de bas poids moléculaire ainsi obtenue.6
La gomme xanthane, à quoi ça sert ?
Utilisée en lieu et place des gommes végétales et des gélifiants issus du monde marin, la gomme xanthane est un remplaçant de choix. Un pouvoir gélifiant élevé (autrement dit : pourcentage d’emploi faible), une grande stabilité tant à la température qu’au pH ou à la salinité,7 la gomme xanthane trouve de nombreuses applications du médicament au cosmétique, en passant par le contenu de nos assiette (les aliments) et les peintures ou les textiles.8
En matière de recherche, la gomme xanthane constitue un additif fréquemment étudié ; elle entre aussi bien dans la composition d’une émulsion hydratante à base d’extrait de figuier,9 que dans une émulsion dépigmentante,10 à base d’ester d’acide kojique ou dans un gel de chlorhexidine destiné à traiter les pathologies gingivales.11
Dans le domaine de la fabrication des pansements, les hydrogels sont fortement mis à contribution, du fait de leur affinité pour la peau et de leur caractère hydrophile. Des associations entre gélifiants sont envisageables. La gomme xanthane est, par exemple, parfaitement compatible avec le glucomannane, présent dans le tubercule de konjac.12
La gomme xanthane est également l’un des constituants d’un gel présenté comme susceptible de constituer une barrière protectrice vis-à-vis des muqueuses de l’oropharynx, permettant de réduire l’impact des infections virales. La gomme xanthane est ainsi associée à de la glycérine et à un antiseptique comme le chlorure de cétylpyridinium.13
La gomme xanthane, est-ce que c’est sûr d’emploi ?
Sûre d’emploi, en tant qu’additif alimentaire E415,4 sûre d’emploi dans le domaine cosmétique, la gomme xanthane ne soulève aucune polémique.
La gomme xanthane, en bref
Un bon gélifiant. Voilà ce que l’on peut dire de ce polymère, retrouvé dans un grand nombre de cosmétiques. De la crème anti-âge,14 à l’autobronzant,15 du cold cream,16 à la crème anti-fatigue,17 du produit de protection solaire,18 au produit anti-lumière bleue,19 du masque contour des yeux,20 au masque capillaire,21 du déodorant longue durée,22 au dentifrice fluoré (la gomme xanthane facilite l’extrusion du ruban),23 du fond de teint fluide,24 au lait de toilette bébé,25 la gomme xanthane ne dit jamais non. Dès lors que l’on a besoin d’elle afin d’épaissir une préparation, de stabiliser une émulsion ou tout simplement de formuler un gel, elle répond toujours : « présente » ! Et on n’aura rien à redire à cela.
Bibliographie
1 https://ec.europa.eu/growth/tools-databases/cosing/index.cfm?fuseaction=search.details_v2&id=80699
2 https://www.aroma-zone.com/info/fiche-technique/gomme-xanthane-aroma-zone
3 Felicia Katherine R, Muthukumaran C, Sharmila G, Manoj Kumar N, Tamilarasan K. Xanthan gum production using jackfruit-seed-powder-based medium: optimization and characterization., 3 Biotech. 2017, 7, 4, 248
4 EFSA Panel on Food Additives and Nutrient Sources added to Food (ANS), Mortensen A, Aguilar F, Crebelli R, Di Domenico A, Frutos MJ, Galtier P, Gott D, Gundert-Remy U, Lambré C, Leblanc JC, Lindtner O, Moldeus P, Mosesso P, Oskarsson A, Parent-Massin D, Stankovic I, Waalkens-Berendsen I, Woutersen RA, Wright M, Younes M, Brimer L, Christodoulidou A, Lodi F, Gelgelova P, Dusemund B. Re-evaluation of xanthan gum (E 415) as a food additive., EFSA J., 2017, 14, 15, 7, e04909
5 Ozdal M, Kurbanoglu EBJ. Valorisation of chicken feathers for xanthan gum production using Xanthomonas campestris MO-03. Genet Eng Biotechnol. 2018, 16, 2, 259-263
6 Hu X, Wang K, Yu M, He P, Qiao H, Zhang H, Wang Z. Characterization and Antioxidant Activity of a Low-Molecular-Weight Xanthan Gum. Biomolecules, 2019, 12, 9, 11, 730
7 Dai X, Gao G, Wu M, Wei W, Qu J, Li G, Ma T., Construction and application of a Xanthomonas campestris CGMCC15155 strain that produces white xanthan gum. Microbiologyopen. 2019, 8, 2, e00631
8 Soleymanpour Z, Nikzad M, Talebnia F, Niknezhad V. Xanthan gum production from acid hydrolyzed broomcorn stem as a sole carbon source by Xanthomonas campestris. 3 Biotech. 2018, 8, 7, 296
9 Ribeiro RC, Barreto SM, Ostrosky EA, da Rocha-Filho PA, Veríssimo LM, Ferrari M. Production and characterization of cosmetic nanoemulsions containing Opuntia ficus-indica (L.) mill extract as moisturizing agent. Molecules. 2015, 2, 20, 2, 2492-509
10 Musa SH, Basri M, Fard Masoumi HR, Shamsudin N, Salim N. Enhancement of physicochemical properties of nanocolloidal carrier loaded with cyclosporine for topical treatment of psoriasis: in vitro diffusion and in vivo hydrating action. Int J Nanomedicine. 2017, 28, 12, 2427-2441
11 Matesanz P, Herrera D, Echeverría A, O’Connor A, González I, Sanz M. A randomized clinical trial on the clinical and microbiological efficacy of a xanthan gel with chlorhexidine for subgingival use. Clin Oral Investig. 2013, 17, 1, 55-66
12 Alves A, Miguel SP, Araujo ARTS, de Jesús Valle MJ, Sánchez Navarro A, Correia IJ, Ribeiro MP, Coutinho P. Xanthan Gum-Konjac Glucomannan Blend Hydrogel for Wound Healing. Polymers (Basel). 2020, 4, 12, 1, 99
13 Mukherjee PK, Esper F, Buchheit K, Arters K, Adkins I, Ghannoum MA, Salata RA. Randomized, double-blind, placebo-controlled clinical trial to assess the safety and effectiveness of a novel dual-action oral topical formulation against upper respiratory infections. BMC Infect Dis. 2017, 14, 17, 1, 74
15 https://www.regard-sur-les-cosmetiques.fr/nos-regards/tous-les-autobronzants-ne-se-valent-pas-133
16 https://www.regard-sur-les-cosmetiques.fr/nos-regards/1-2-3-cold-cream-176/
17 https://www.regard-sur-les-cosmetiques.fr/nos-regards/defatigant-mon-oeil-191/
21 https://www.regard-sur-les-cosmetiques.fr/nos-regards/du-bon-choix-d-un-masque-capillaire-334/
25 https://www.regard-sur-les-cosmetiques.fr/nos-regards/lait-de-toilette-sans-rincage-klorane-il-est-parfait-mille-sabords-1563/

