La gomme de sclérote, de l’armée américaine au barbier français, histoire d’un gélifiant naturel
La gomme de sclérote, contrairement aux gommes arabique, adragante, guar ou de karaya, n’est pas une gomme végétale ; elle est, en effet, obtenue par voie biotechnologique, à l’aide d’un champignon du genre Sclerotium, Sclerotium rolfsii, le plus souvent. Connu à l’inventaire européen comment « Agent stabilisateur d’émulsion, conditionneur cutané et agent de contrôle de la viscosité »,1 cet ingrédient, dont on connaît la structure chimique depuis les années 1960 et le mode de production depuis les années 1970, est un gélifiant retrouvé dans quelques gammes cosmétiques. On peut également lui reconnaître des propriétés filmogènes intéressantes.2 La mayonnaise entre cet ingrédient liant et l’industrie du médicament ne semble pas prendre, contrairement à ce qui se passe dans le domaine cosmétique. Une gomme encore trop peu connue qui mérite que l’on se penche sérieusement sur son cas.
Naissance en 1960 sous l’impulsion de l’armée américaine
La connaissance de la structure chimique de ce que l’on qualifie de « scléroglucane » (nom générique permettant de désigner les exopolysaccharides, produits par certains champignons filamenteux du genre Sclerotium) est à mettre sur le compte de chercheurs de l’armée américaine qui travaillaient sur ce thème dans les années 1960. En 1967, Halleck dépose le premier brevet concernant le mode d’obtention (souches productrices, procédés de production et de purification) de ce scléroglucane ; ce brevet ne passe pas inaperçu… la société Pillsbury Co. (Minneapolis) se saisit du concept avec gourmandise et commence la commercialisation de scléroglucane sous le nom de Polytran®. Par la suite, d’autres sociétés s’intéresseront à cet ingrédient et viendront étoffer l’offre en cette matière première. A partir d’un champignon (Sclerotium rolfsii) présent dans le sol, d’un parasite des cultures (de haricot commun, Phaseolus vulgaris, par exemple) qui réduit les rendements, on est désormais capable de produire une molécule d’intérêt sur laquelle vont se pencher des centaines de chercheurs,3 chercheurs qui, à l’heure actuelle, continuent encore à tenter d’optimiser les conditions de fermentation afin de réduire le coût de production en augmentant le rendement et en réduisant la durée de production.4
Caractéristiques de la gomme de sclérote
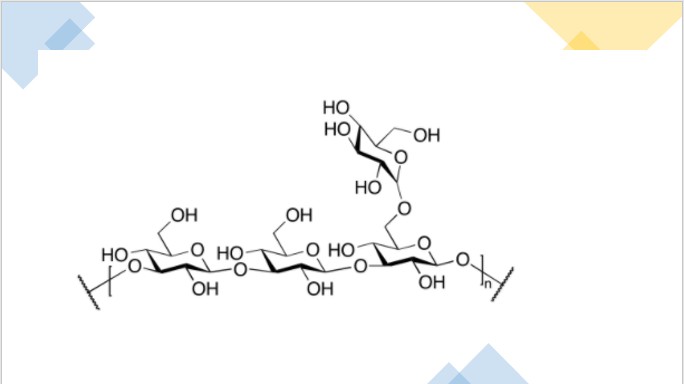
Le scléroglucane, secrété par les champignons du genre Sclerotium, est un bêta-glucane (β-1,3-β-1,6-glucane), c’est-à-dire un polymère composé exclusivement de glucose. Sa solubilité dans l’eau, sa fonction gélifiante et sa grande stabilité à la température (résistance à 100° pendant 60 minutes), au pH (de 1 à 13) et à la salinité (20 % m/v en chlorure de sodium) en font une matière première courtisée dans différents domaines (alimentaire, cosmétique, pharmaceutique…).5,6 Son association à d’autres gélifiants utilisés dans le domaine cosmétique (amidon, gomme xanthane, gomme arabique) est tout à fait possible.7
Applications environnementales
On envisage également d’utiliser cette gomme en association avec du thiosulfate de sodium, afin de permettre la décontamination des sols du chrome VI.8
Applications biomédicales
La gomme de sclérote joue les abonnés absents en matière d’applications biomédicales concrètes. Quelques publications émergent, toutefois, de temps à autre, afin de tenter d’attirer l’attention sur ce gélifiant. C’est le cas, par exemple, d’une publication toute récente qui la propose comme vecteur pour le nitrate d’oxiconazole (un antifongique), dans le cadre du traitement des onychomycoses avec la formulation d’un hydrogel composé à partir de chitosan, de carboxyméthylcellulose, de scléroglucane et de montmorillonite.9 Cet hydrogel semble tenir à cœur à l’équipe en question qui a déjà publié sur le sujet, proposant cette association de gélifiants pour réaliser des excipients utilisables dans le domaine du médicament ou du dispositif médical (pansement).10 Des greffages avec des chaînes alkyles ou carboxyméthyle sont également timidement proposées.11-13
Applications cosmétiques
Le dictionnaire Vidal, désespérément muet en matière de médicaments renfermant de la gomme de sclérote, devient bavard dès lors que l’on se place au niveau cosmétique. Le soin coup d’éclat D’âme nature,14 l’anti-transpirant Hidrosis Ducray,15 le baume Topialyse SVR16 et bien d’autres cosmétiques encore renferment cette gomme. Présente dans la base de données de la Febea,17 mise en avant entre autres par Monsieur Barbier18 et par la société de matière première Alban Muller qui en fait l’amie des gels (Amigel®),19 la gomme de sclérote s’insinue petit à petit dans le paysage cosmétique.
La gomme de sclérote, en bref
La gomme de sclérote, en deux mots, c’est un ingrédient de découverte récente, bel exemple de sérendipité,20 car il y a peu de chance pour que les chercheurs de l’armée américaine, qui ont découvert cet exopolysaccharide dans une culture de Sclerotium, cherchaient l’ingrédient-miracle d’une crème de jour, d’un soin anti-cernes ou d’un baume ultra-hydratant. Plus de 50 ans de recul, des propriétés en tant qu’additif tout à fait honorable… Bref, tout ce qu’il faut pour poursuivre une belle carrière dans le domaine cosmétique.
Bibliographie
1 https://ec.europa.eu/growth/tools-databases/cosing/index.cfm?fuseaction=search.details_v2&id=78705
2 Nora J. François, Silvana C. Viñarta, Marta E. Daraio, Investigation on the film-forming properties of lab fermenter scale produced scleroglucans from Sclerotium rolfsii ATCC 201126, Carbohydrate Polymers, 86, 1, 2011, Pages 45-50
3 Ahmed A. Abdelhafez, Khaled E. Eid, Ibrahim Mohamed, Application of soil biofertilizers to a clayey soil contaminated with Sclerotium rolfsii can promote production, protection and nutritive status of Phaseolus vulgaris, Chemosphere, 271, 2021, 129321
4 Runqing Tan, Yunbin Lyu, Jingwen Zhou, Enhancing scleroglucan production by Sclerotium rolfsii WSH-G01 through a pH-shift strategy based on kinetic analysis, Bioresource Technology, 293, 2019, 122098
5 J. I. Fariña, F. Siñeriz, N. I. Perotti, Isolation and physicochemical characterization of soluble scleroglucan from Sclerotium rolfsii. Rheological properties, molecular weight and conformational characteristics, Carbohydrate Polymers, 44, 1, 2001, Pages 41-50
6 Natalia A. Castillo, Alejandra L. Valdez, Julia I. Fariña, Microbial production of scleroglucan and downstream processing, Front Microbiol., 2015, 6, 1106
7 Silvana C. Viñarta, Mariana M. Yossen, Julia I. Fariña, Scleroglucan compatibility with thickeners, alcohols and polyalcohols and downstream processing implications, Carbohydrate Polymers, 92, 2, 15, 2013, 1107-1115
8 Erica Pensini, Abdallah Elsayed, Christopher M. Collier, In situ trapping and treating of hexavalent chromium using scleroglucan-based fluids: A proof of concept, Colloids and Surfaces A: Physicochemical and Engineering Aspects, 559, 20, 2018, 191 – 200
9 Bahar Kancı BozoÄŸlan, Osman Duman, Sibel Tunç, Smart antifungal thermosensitive chitosan/carboxymethylcellulose/scleroglucan/montmorillonite nanocomposite hydrogels for onychomycosis treatment, Colloids and Surfaces A: Physicochemical and Engineering Aspects, 610, 5, 2021, 125600
10 Bahar Kancı BozoÄŸlan, Osman Duman, Sibel Tunç, Preparation and characterization of thermosensitive chitosan/carboxymethylcellulose/scleroglucan nanocomposite hydrogels, International Journal of Biological Macromolecules, 162, 1, 2020, 781-797
11 Mojgan Nazmabadi, Abbas Shirdast, Jamal Aalaie, Aqueous/brine solutions viscosity and surface properties of hydrophobically modified scleroglucans: Role of grafted chain length, Carbohydrate Polymers 229, 1, 2020, 115519
12 Patrizia Paolicelli, Gabriele Varani, Maria Antonietta Casadei, Design and characterization of a biocompatible physical hydrogel based on scleroglucan for topical drug delivery. Carbohydrate Polymers, 174, 15, 2017, 960-969
13 Maria Antonietta Casadei, Pietro Matricardi, Patrizia Paolicelli, Physical gels of a carboxymethyl derivative of scleroglucan: Synthesis and characterization, European Journal of Pharmaceutics and Biopharmaceutics, 67, 3, 2007, Pages 682-689
14 https://www.vidal.fr/parapharmacie/d-ame-nature-coup-d-eclat-gel-satin-lumiere-203057.html
15 https://www.vidal.fr/parapharmacie/hidrosis-control-emuls-anti-transpirante-aisselles-186942.html
16 https://www.vidal.fr/parapharmacie/svr-topialyse-baume-en-spray-196952.html
17 https://www.febea.fr/fr/baseingredient/sclerotium-gum
18 https://www.monsieurbarbier.com/ingredient-cosmetique/Sclerotium-gum
19 https://www.ulprospector.com/fr/na/PersonalCare/Detail/1720/646320/Amigel
20 https://www.regard-sur-les-cosmetiques.fr/nos-regards/la-serendipite-appliquee-aux-cosmetiques-131/

